Skip to content
ΜΕΤΑΒΑΣΗ Α.Ε. – Ελληνική Εταιρεία Δίκαιης Αναπτυξιακής ΜετάβασηςΜΕΤΑΒΑΣΗ Α.Ε. – Ελληνική Εταιρεία Δίκαιης Αναπτυξιακής ΜετάβασηςΜΕΤΑΒΑΣΗ Α.Ε. – Ελληνική Εταιρεία Δίκαιης Αναπτυξιακής Μετάβασης
  • ΣΧΕΤΙΚΑ ΜΕ ΕΜΑΣ
  • ΔΙΑΘΕΣΗ ΕΔΑΦΩΝ
  • ΕΠΕΝΔΥΣΕΙΣ
    • ΕΚΔΗΛΩΣΗ ΠΡΟΚΑΤΑΡΚΤΙΚΟΥ ΕΝΔΙΑΦΕΡΟΝΤΟΣ
    • ΔΙΑΘΕΣΗ ΕΔΑΦΩΝ
  • ΓΕΩΧΩΡΙΚΗ ΠΛΗΡΟΦΟΡΙΑ
  • ΠΡΟΚΗΡΥΞΕΙΣ
  • ΕΤΑΙΡΙΚΑ ΝΕΑ
  • ΜΕΤΑΛΙΓΝΙΤΙΚΗ ΑΕ
  • ΕΠΙΚΟΙΝΩΝΙΑ
  • en_GBEN

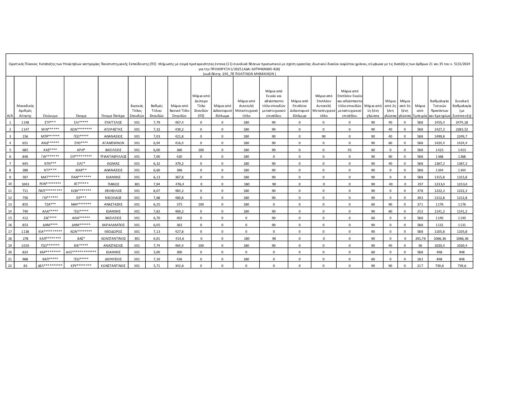
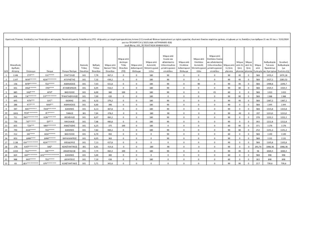
ΟΡΙΣΤΙΚΟΣ ΠΙΝΑΚΑΣ ΚΑΤΑΤΑΞΗΣ_201

ΟΡΙΣΤΙΚΟΣ ΠΙΝΑΚΑΣ ΚΑΤΑΤΑΞΗΣ_201
Kατηγορίες
  • ΔΕΛΤΙΑ ΤΥΠΟΥ (14)
  • ΔΗΜΟΣΙΟΤΗΤΑ (3)
  • ΕΤΑΙΡΙΚΑ ΝΕΑ (61)
  • ΜΕΤΑΛΙΓΝΙΤΙΚΗ ΑΕ (2)
  • ΠΡΟΚΗΡΥΞΕΙΣ – ΠΡΟΣΚΛΗΣΕΙΣ (19)
ΠΡΟΣΦΑΤΕΣ ΑΝΑΡΤΗΣΕΙΣ
  • 15
    Απρ
    Η Δίκαιη Μετάβαση αρχίζει να αποδίδει – Ενημερωτική ημερίδα της ΜΕΤΑΒΑΣΗ Μ.Α.Ε. στην Κοζάνη για επενδύσεις, διαθέσιμες εκτάσεις και νέα χρηματοδοτικά εργαλεία
  • 15
    Απρ
    Η Δίκαιη Μετάβαση αρχίζει να αποδίδει – Ενημερωτική ημερίδα της ΜΕΤΑΒΑΣΗ Μ.Α.Ε. στη Μεγαλόπολη για επενδύσεις, διαθέσιμες εκτάσεις και νέα χρηματοδοτικά εργαλεία
  • 30
    Μαρ
    Η ΜΕΤΑΒΑΣΗ Μ.Α.Ε. στα πλαίσια της δράσης «Κέντρα Ανάπτυξης Δεξιοτήτων και Απασχόλησης στις περιοχές Δίκαιης Αναπτυξιακής Μετάβασης», η οποία χρηματοδοτείται από το Πρόγραμμα Δίκαιης Αναπτυξιακής Μετάβασης 2021-2027, συμμετείχε στη διεθνή έκθεση MCE – Mostra Convegno Expocomfort 2026 στο Fiera Milano από 24-27 Μαρτίου 2026.
  • 20
    Μαρ
    Μηχανισμός Στήριξης της Επιχειρηματικότητας Νήσων (ΒΟΡΕΙΟΥ, ΝΟΤΙΟΥ ΑΙΓΑΙΟΥ ΚΑΙ ΚΡΗΤΗΣ)
  • 19
    Μαρ
    Νέα παράταση στη διαδικασία υποβολής αιτημάτων για μακροχρόνια μίσθωση έξι (6) εκτάσεων στην Περιφέρεια Δυτικής Μακεδονίας και στο Δήμο Μεγαλόπολης
ΜΕΤΑΒΑΣΗ Α.Ε.
metavasi logo

Η εταιρεία ΜΕΤΑΒΑΣΗ Α.Ε. ιδρύθηκε με το Νόμο 4872/2021 και λειτουργεί χάριν του δημοσίου συμφέροντος.

ΔΗΜΟΣΙΟΤΗΤΑ

ΕΤΑΙΡΙΚΑ ΝΕΑ
ΔΕΛΤΙΑ ΤΥΠΟΥ
ΠΡΟΚΗΡΥΞΕΙΣ – ΠΡΟΣΚΛΗΣΕΙΣ

Επικοινωνία

Σταδίου 24, Αθήνα, 105 64, 1ος Όροφος

2144097000

info@metavasi-dam.gr




(C) ΜΕΤΑΒΑΣΗ Α.Ε.
  • Πολιτική Προστασίας Προσωπικών Δεδομένων
  • Πολιτική Απορρήτου
Developed by VelocityGroup.gr
  • ΣΧΕΤΙΚΑ ΜΕ ΕΜΑΣ
  • ΔΙΑΘΕΣΗ ΕΔΑΦΩΝ
  • ΕΠΕΝΔΥΣΕΙΣ
    • ΕΚΔΗΛΩΣΗ ΠΡΟΚΑΤΑΡΚΤΙΚΟΥ ΕΝΔΙΑΦΕΡΟΝΤΟΣ
    • ΔΙΑΘΕΣΗ ΕΔΑΦΩΝ
  • ΓΕΩΧΩΡΙΚΗ ΠΛΗΡΟΦΟΡΙΑ
  • ΠΡΟΚΗΡΥΞΕΙΣ
  • ΕΤΑΙΡΙΚΑ ΝΕΑ
  • ΜΕΤΑΛΙΓΝΙΤΙΚΗ ΑΕ
  • ΕΠΙΚΟΙΝΩΝΙΑ
  • en_GBEN
Διαχείριση Συγκατάθεσης Cookies
Χρησιμοποιούμε μόνο αναγκαία cookies για την καλή λειτουργία του ιστότοπου μας και τη μέτρηση στατιστικών επισκεψιμότητας, ώστε να σας προσφέρουμε την βέλτιστη εμπειρία περιήγησης. Διαχείριση Cookies ΑΠΟΔΟΧΗ
Διαχείριση Cookies

Privacy Overview

This website uses cookies to improve your experience while you navigate through the website. Out of these, the cookies that are categorized as necessary are stored on your browser as they are essential for the working of basic functionalities of the website. We also use third-party cookies that help us analyze and understand how you use this website. These cookies will be stored in your browser only with your consent. You also have the option to opt-out of these cookies. But opting out of some of these cookies may affect your browsing experience.
Necessary
Always Enabled
Necessary cookies are absolutely essential for the website to function properly. These cookies ensure basic functionalities and security features of the website, anonymously.
CookieDurationDescription
cookielawinfo-checkbox-analytics11 monthsThis cookie is set by GDPR Cookie Consent plugin. The cookie is used to store the user consent for the cookies in the category "Analytics".
cookielawinfo-checkbox-functional11 monthsThe cookie is set by GDPR cookie consent to record the user consent for the cookies in the category "Functional".
cookielawinfo-checkbox-necessary11 monthsThis cookie is set by GDPR Cookie Consent plugin. The cookies is used to store the user consent for the cookies in the category "Necessary".
cookielawinfo-checkbox-others11 monthsThis cookie is set by GDPR Cookie Consent plugin. The cookie is used to store the user consent for the cookies in the category "Other.
cookielawinfo-checkbox-performance11 monthsThis cookie is set by GDPR Cookie Consent plugin. The cookie is used to store the user consent for the cookies in the category "Performance".
viewed_cookie_policy11 monthsThe cookie is set by the GDPR Cookie Consent plugin and is used to store whether or not user has consented to the use of cookies. It does not store any personal data.
Functional
Functional cookies help to perform certain functionalities like sharing the content of the website on social media platforms, collect feedbacks, and other third-party features.
Performance
Performance cookies are used to understand and analyze the key performance indexes of the website which helps in delivering a better user experience for the visitors.
Analytics
Analytical cookies are used to understand how visitors interact with the website. These cookies help provide information on metrics the number of visitors, bounce rate, traffic source, etc.
Advertisement
Advertisement cookies are used to provide visitors with relevant ads and marketing campaigns. These cookies track visitors across websites and collect information to provide customized ads.
Others
Other uncategorized cookies are those that are being analyzed and have not been classified into a category as yet.
SAVE & ACCEPT